Archivi tag: fosforilazione ossidativa

Arsenico: un quotidiano nemicio invisibile

Introduzione

L’arsenico (As) è un semimetallo che è naturalmente contenuto nella crosta terreste e lo si può trovare anche nell’acqua e nell’aria. L’inquinamento delle falde acquifere da arsenico, in numerosi paesi del mondo, rappresenta un grave rischio cronico per la salute delle popolazioni che utilizzano queste fonti come principali risorse idriche, ma non solo. I rischi sono legati anche all’utilizzo di queste acque per l’irrigazione dei campi, per la produzione di alimenti o per i processi industriali. Altre attività che possono aumentare l’inquinamento da arsenico sono sicuramente le attività industriali e di estrazione mineraria, l’utilizzo di insetticidi a base di arsenico ma anche l’attività vulcanica.

Il continente più colpito da questo fenomeno è quello asiatico, alti valori di arsenico si riscontrano anche in alcuni stati dell’America del Sud e del Nord.

Casi documentati di contaminazione da arsenico legati a fenomeni naturali Fonte: British Geological Survey, (2001), <http://www.bgs.ac.uk/&gt;

In Italia le regioni maggiormente esposte a questo rischio sono alcune zone della Toscana, Umbra, Lombardia, Trentino-Alto Adige e del Lazio. Per fronteggiare questa emergenza sono utilizzati dei sistemi di filtraggio a membrana o dei materiali adsorbenti.

Stati di ossidazione

In natura l’arsenico inorganico si può trovare in diversi stati di ossidazione (-3, 0, +3, +5). I più comuni e tossici sono le forme pentavalenti e trivalenti rispettivamente arseniato e arsenito che risulta essere la forma più tossica. Molto comuni sono anche le forme monometilate (MMA) e dimetilate (DMA) che molti mammiferi producono come metaboliti che vengono espulsi tramite l’urina. La forma trimetilata (TMA) è presente in piccolissime quantità nell’urina.

Forme metilate di As(v) e As(III)

Nell’uomo sono state trovate tracce di questi composti nell’urina di soggetti cronicamente esposti a fonti di arsenico.

Le forme organiche di arsenico sono molto meno tossiche e presenti in quantità minima rispetto a quelle inorganiche.

Effetti sulla salute

La tossicità acuta varia a seconda della formula e del suo stato di ossidazione. La MMAIII nei topi ha una LD50 di 2 mg/Kg mentre la MMAV ha una LD50 di 960 mg/Kg, le forme più metilate hanno valori di LD superiori (Michael F. Hughes, 2002).

Le caratteristiche di un’intossicazione acuta da arsenico sono problemi all’apparato gastrointestinale, vomito, diarrea, sangue nelle urine, anuria, convulsioni, coma e morte.

La tossicità cronica è più comune soprattutto nei paesi sottosviluppati o nelle località dove l’acqua estratta dalla falda non viene filtrata e controllata prima di essere distribuita. Anche il tabacco può dare questo tipo di tossicità in quanto la pianta del tabacco è in grado di assorbire l’arsenico presente nel suolo.

Uno dei tratti caratteristici di questa tossicità sono le lesioni cutanee (cambiamento di pigmentazione e ipercheratosi), ma anche problemi al sistema cardiovascolare (Blackfoot disease), nervoso, epatico, endocrino e renale.

L’esposizione cronica a queste molecole può portare allo sviluppo di tumori, i più frequenti sono quelli alla pelle, ai polmoni o alla vescica. La EFSA (European Food Safety Autority) ha identificato l’intervallo di dosi giornaliere (da 0,3 a 8 μg/Kg di peso corporeo) che porterebbero ad un aumento del rischio di sviluppare tumori pari all’1%.

Meccanismo della tossicità dell’arsenico pentavalente

L’arseniato può sostituire il gruppo fosforico in molte reazioni biochimiche per via della struttura e proprietà simili, ad esempio può legarsi al glucosio nella prima reazione della glicolisi per formare il glucosio-6-arseniato o legarsi al gluconato. L’arseniato può anche sostituire il fosfato nella pompa del sodio e limitare la produzione di ATP durante la glicolisi.

Si assiste quindi ad una deplezione di ATP (riduzione della produzione), in particolare a livello mitocondriale l’arseniato è in grado di sostituirsi al gruppo fosforico nella sintesi dell’ATP per formare ADP-arseniato durante la fosforilazione ossidativa.

Meccanismo della tossicità dell’arsenico trivalente

L’arsenito reagisce in vitro con molecole contenenti gruppi tiolici come la cisteina e il GSH (glutatione). Il legame tra l’arsenico trivalente e i gruppi tiolici può inibire importanti funzioni biochimiche.

Il complesso della PDH (piruvato deidrogenasi) viene inibito dalla presenza di arsenito, in particolare dalle forme metilate (MMAIII) che si legano all’acido lipoico. Il complesso della PDH ossida il piruvato ad Acetil-CoA che entra nel ciclo di Krebs per produrre equivalenti ridotti utili alla catena di trasporto degli elettoni per la sintesi dell’ATP. L’inibizione di questo complesso porta quindi ad una riduzione di ATP.

L’arsenito è anche un potente inibitore del GSH reduttasi che ha la funzione di ripristinare il glutatione ridotto. Il risultato di questa inibizione è una deplezione di GSH in forma ridotta che determina un accumulo di specie reattive dell’ossigeno (ROS) tossiche per le cellule.

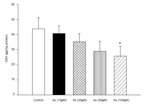
Risultati di test sperimentali

Nel rapporto della SOT (society of Toxicology) del 2016 sono raccolti i principali risultati di test in vitro dell’intossicazione da arsenito.

Effetto della concentrazione di arsenito nel contenuto mitoondriale di GSH
Livelli di ATP e rapporto ATP/ADP in relazione alla concentrazione di arsenito

Conclusioni

La formazione di ROS, e la deplezione di ATP sono alcuni dei principali risultati da intossicazione da arsenico che portano alla morte cellulare. L’aumento di ROS causa anche l’apertura di pori di transizione di permeabilità mitocondriale che danneggiano l’integrità della membrana mitocondriale. Il rilascio di citocromo c dalla membrana mitocondriale può portare all’attivazione dalle caspasi che inducono una morte cellulare per apoptosi. La sola deplezione di ATP porterebbe ad una morte cellulare per necrosi.

L’organizzazione mondiale della sanità ha fissato a 10 μg/l il limite massimo di arsenico nelle acque potabili.

Sviluppi biotecnologici

La felce a foglie lunghe (Pteris vittata) è una pianta in grado di accumulare all’interno dei vacuoli grandi quantità di arsenico presente nel terreno. Alcuni ricercatori hanno isolato i tre geni responsabili dell’accumulo di Arsenico sono utilizzati dalle cellule per sintetizzare tre proteine. La GAPC1 è utilizzata per il trasporto dell’arsenico, la OCT4 sembrerebbe aiutare l’arseniato ad attraversare le membrane dove un’altra proteina, la GSTF1, trasforma l’arseniato in arsenito, la forma immagazzinata nella cellula. L’inattivazione di uno di questi geni causa la morte delle piante. Sono ancora in corso studi sul possibile utilizzo di questi geni che possono essere inseriti in altre piante per renderle capaci di bonificare terreni come già stanno facendo in alcune zone le piante di felce.

Pteris vittata – Rafael Medina/iNaturalist.org

Fonti:

Istituto superiori di sanità – Arsenico (link)

WHO – Arsenic (link)

UNICEF “Mitigating Arsenic In Drinking Water ” (link)

Hughes, Michael F. “Arsenic toxicity and potential mechanisms of action” Toxicology Letters Volume 133 Issue 1, 7 Luglio 2002 – (link)

Hosseini, Mir-Jamal et al. “Toxicity of Arsenic (III) on Isolated Liver Mitochondria: A New
Mechanistic Approach” Iranian Journal of Pharmaceutical Research (Winter 2013) – (link)

Licenza Creative Commons

Quest’opera è distribuita con Licenza Creative Commons Attribuzione – Non commerciale 4.0 Internazionale.